الروابط الهيدروجينية (Hydrogen Bonds)، هي إحدى أنواع الروابط الكيميائية الضعيفة نسبيًّا، أضعف من الروابط التساهمية والأيونية، ولكن تميل إلى أن تكون أقوى من قوى فاندرفالس، وتشكل نوعًا خاصًا من تجاذب القوى ثنائية القطب، وذلك عندما توجد ذرة هيدروجين مرتبطةً بذرةٍ ذات كهرسلبيةٍ قوية، بالقرب من ذرةٍ كهرسلبية أخرى مع زوجٍ واحدٍ من الإلكترونات.
كيفية تشكّل الروابط الهيدروجينية
حتى تتشكل الرابطة الهيدروجينية، يجب أن يكون لديناعنصر مانحوعنصر مستقبلالعنصر المانح في هذه الرابطة هو الذرة التي ترتبط بها ذرة الهيدروجين (والتي هي العنصر المستقبل)، والمشاركة فيها تساهميًا، وغالبًا ما تكون ذرة ذات كهرسلبيةٍ قويةٍ مثل الأوكسجين (O) أو النيتروجين (N) أو الفلور (F)، ويجب أن تمتلك زوجًا وحيدًا من الإلكترونات.بما أن المانح للهيدروجين هو ذرةٌ ذات كهرسلبيةٍ قوية، فإنها تسحب زوج الإلكترون المرتبط تساهميًا بحيث يصبح أقرب إلى نواتها، وبعيدًا عن ذرة الهيدروجين. ثم تُترك ذرة الهيدروجين بشحنةٍ موجبةٍ جزئية δ+، مما يخلق تجاذب ثنائي القطب بين ذرة الهيدروجين المرتبطة بالعنصر المانح، وزوج الإلكترون الوحيد للهيدروجين.
ما هي شروط تشكّل الرابطة الهيدروجينية
كنتيجةٍ لهذا النوع من الروابط، نجد أن ذرة الهيدروجين تربط ذرتين شديدتي الكهرسلبية في وقتٍ واحدٍ، إحداها برابطةٍ هيدروجينيةٍ والأخرى برابطةٍ تساهميةٍ، وشرطا التشكّل هما:
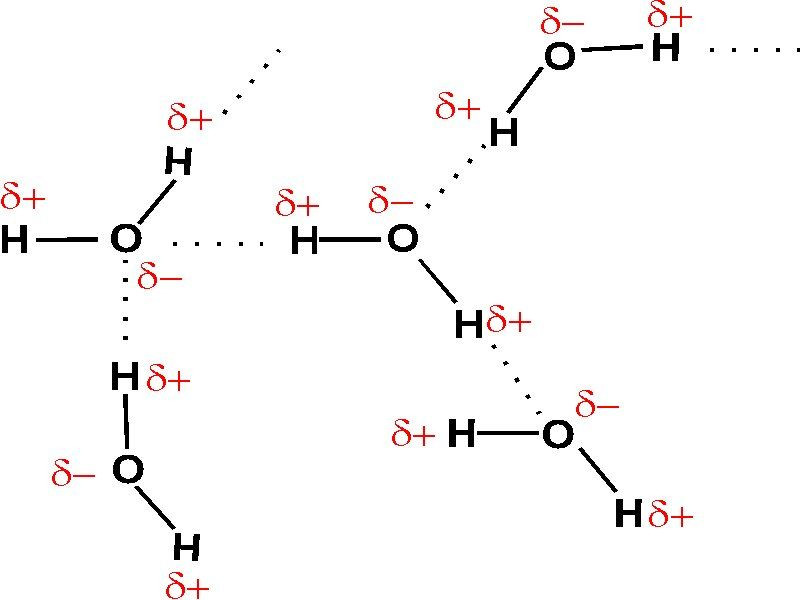
أمثلة على الروابط الهيدروجينية
أنواع الروابط الهيدروجينية
يمكن أن تتشكل الروابط الهيدروجينية داخل جزيءٍ واحد، بين جزيئين متشابهين، أو بين جزيئين مختلفين.
أين نجد هذا النوع من الروابط


المراجع
- 1 - Hydrogen Bonding , August/06/2020 | 06:50 AM .
- 2 - Hydrogen Bonding , August/06/2020 | 06:50 AM .
- 3 - Hydrogen Bond Definition and Examples , August/06/2020 | 06:50 AM .
- 4 - HYDROGEN BONDING , August/06/2020 | 06:50 AM .